摘要:
针对目前应用于直流配电网领域的DC/DC换流器造价高、控制复杂以及不具备直流短路故障穿越能力的缺点,为了实现不同电压等级直流分布式负荷有效接入直流配电网,提出了一种混合DC/DC换流器拓扑,采用电流源换流器(currentsourceconverter,CSC)连接直流电网,电压源换流器(voltagesourceconverter,VSC)连接直流分布式负荷。提出的换流器拓扑具有结构简单、控制方式灵活以及具备直流短路故障穿越能力的优点。在分析换流器数学模型和运行约束条件的基础上,给出了换流器的参数设计方法,提出了一种CSC侧功率闭环控制,VSC侧交流电压幅值闭环控制的DC/DC换流器闭环控制策略。最后,在RTDS半实物仿真平台上搭建了1MW/2000V/750V混合DC/DC换流器试验模型,开展了额定运行工况、功率变化工况和直流短路工况试验。额定运行工况试验结果表明提出的拓扑可以实现1MW额定功率的运行,功率变化工况试验结果表明提出的拓扑可以实现功率由1MW到-1MW的平滑反转,直流短路工况试验结果表明换流器能够平稳穿越直流短路故障。
关键词:
DC/DC;电流源换流器;电压源换流器;参数设计;功率控制;新能源;分布式能源并网;可再生能源;
董霜(1979—),女,高级工程师,硕士,主要从事电力系统设计研究。
*沙志成(1980—),男,正高级工程师,硕士,主要从事电力系统设计研究。
基金:
山东省重点研发计划资助项目(2018GGX104009);
引用:
董霜,沙志成,朱春萍,等.用于分布式能源并网的DC/DC换流器设计与研究[J].水利水电技术(中英文),2025,53(2):173-183.
DONGShuang,SHAZhicheng,ZHUChunping,etal.DesignandstudyonaDC/DCconverterfordistributedenergygridconnection[J].WaterResourcesandHydropowerEngineering,2025,53(2):173-183.
0引言随着计算机技术、控制方法和半导体器件的工艺进步,为了解决城市直流负荷类型日益增多的问题,具有供电可靠性高、投资成本低、配置方式灵活、优良的故障响应特性和适应大量直流分布式可再生能源并网的直流配电网被提上议程。为了实现不同电压等级直流配电网之间的互联,光伏、储能电容等直流电源的并网发电以及电动汽车、直流充电桩等直流负载的接入,需要一种直流-直流变换装置,即DC/DC换流器。
由于大多数直流负荷为电压源型负荷,故国内外学者对适用于直流配电网系统的DC/DC换流器拓扑的研究主要集中在基于VSC的DC/DC换流器拓扑。文献[6]提出了一种基于两电平VSC的front-to-front结构DC/DC换流器,即双有源桥换流器(dualactivebridge,DAB)。该换流器交流侧通过高频变压器连接,具有结构紧凑,控制简单的优点。为了增加换流器额定容量,文献[7]提出了采用三电平拓扑的DAB。文献[8]提出了一种基于LCL谐振的DAB结构并对调制策略进行了详细设计。通过LCL谐振,DAB桥臂功率半导体器件工作在软开关状态,降低了DAB整体损耗。然而,文献[6,7,8]提出的DC/DC拓扑直流侧均存在滤波电容,当直流短路故障时,直流电容短路放电,桥臂功率半导体器件承受很大的短路冲击电流,滤波电容和功率半导体器件击穿损毁。因此,文献[6,7,8]提出的拓扑不能够穿越直流短路故障。文献[9]提出了一种谐振式的DC/DC变换器拓扑实现降压功能,提出的拓扑结构相对简单且成本较低,但其直流侧存在特定次的高频谐波分量且不具备直流短路故障穿越能力。
为了穿越直流短路故障,文献[10]提出一种基于模块化多电平换流器的(modularmultilevelconverter,MMC)front-to-front结构DC/DC换流器,该换流器交流侧采用工频变压器连接。通过在MMC桥臂中串联一定数量的全桥子模块或箝位双子模块,当直流短路故障时,可以通过投切对应的功率模块抑制短路冲击电流,实现短路故障穿越。文献[11]提出交流侧采用LCL结构和高频梯形波调制策略的基于MMC的DC/DC换流器结构。为了进一步缩小换流器体积,文献[12]提出了一种DC/DC自变压器结构。文献[13]在文献[12]的基础上提出了一种多端口的DC/DC自变压器结构。文献[12]和[13]提出的DC/DC自变压器通过桥臂直接传递部分能量实现器件数量的降低。文献[14]提出了一种MMC结构的直接DC/DC换流器拓扑。为了穿越直流短路故障,桥臂需要串联一定数量的全桥子模块或箝位双子模块,然而,由于文献[10,11,12,13,14]提出的换流器拓扑均采用模块化多电平结构,换流器控制复杂,成本较大且运行损耗大。
相较于基于VSC结构的DC/DC换流器,基于CSC结构的DC/DC换流器由于具有成本低、结构简单、控制灵活、短路故障穿越能力强等优点,同样适用于直流配电网系统。但目前关于其在直流配电网中的应用研究较少。文献[17]提出了一种电流源型双向隔离DC/DC变换器。提出的变换器高压直流侧采用三电平NPC拓扑,低压侧采用推挽拓扑,高低压侧之间通过隔离变压器实现电气隔离。然而,提出的拓扑功率密度低。文献[18]提出了一种应用于超级电容储能系统的基于CSC的DC/DC拓扑。提出的拓扑通过双桥臂谐振实现能量的传输,但控制较为复杂。文献[19]提出了一种双向隔离电流源型DAB。提出的换流器高压侧采用CSC,低压侧采用半桥结构VSC,交流侧采用电感-电容连接。分析了换流器软开关运行的条件,但存在桥臂器件开关应力较大的缺点。
目前,应用于VSC的控制策略主要有基于旋转坐标系下的双闭环控制策略、基于静止坐标系下的比例谐振控制策略和直接功率控制策略。应用于CSC的控制策略主要有间接电流控制策略和直接电流控制策略。其中直接电流控制策略主要有基于两相静止坐标系下的比例谐振控制策略和模型预测控制策略。上述应用于VSC和CSC的控制策略控制目标主要是直流侧电压电流、交流侧有功无功功率以及交流侧电流谐波分量。由于应用场景的不同,VSC与CSC应用于DC/DC变换器中的控制策略还有待分析。
为结合VSC适用于连接电压源型负荷和CSC直流短路故障穿越能力强的优点,本文提出了一种基于VSC和CSC混合的DC/DC换流器拓扑,其中VSC用于连接直流负荷,CSC侧并入直流电网,VSC与CSC交流侧通过电容-电感-电感连接。分析了提出的混合DC/DC换流器数学模型和运行约束条件,给出了换流器的参数设计方法。提出了一种VSC侧交流电压幅值单闭环控制、CSC侧有功无功功率单闭环控制的混合DC/DC换流器综合控制策略。最后,在RTDS半实物仿真平台上搭建了混合DC/DC换流器的试验模型,试验结果验证了本文提出拓扑及其控制策略的正确性和有效性。
1基于VSC和CSC的混合DC/DC换流器拓扑本文提出的基于VSC和CSC的混合DC/DC换流器的应用场景如图1所示。通过本文提出的DC/DC换流器拓扑,可以实现分布式直流负荷的有效并网,增加直流配电网的供电容量和可靠性。

图1DC/DC换流器应用场景
本文提出的基于VSC和CSC的混合DC/DC换流器拓扑如图2所示。其中CSC用于连接直流配电网,VSC用于连接直流负荷。CSC桥臂由IGCT或压接型的IGBT与二极管串联构成,VSC桥臂由IGBT构成,CSC与VSC交流侧通过电容-电感-电感(CLL)连接。CSC直流侧串联有电抗,VSC直流侧并联有电容。

图2DC/DC换流器拓扑
本文提出的换流器布置方式采用和分布式直流负荷集中布置的方式,即VSC的直流侧直接连接分布式直流负荷,CSC的直流侧通过输电线路并入直流电网。因此,本文提出的换流器直流短路故障通常为CSC侧直流输电线路短路故障。由于CSC的特性,提出的换流器拓扑可以轻易实现直流短路故障穿越。
2混合DC/DC换流器数学模型和运行约束条件2.1混合DC/DC换流器数学模型
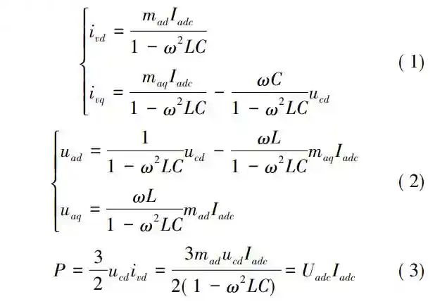
提出的混合DC/DC换流器CSC和VSC交流侧通过CLL连接,可以认为CSC和VSC通过耦合点O连接,运用基尔霍夫电压电流定律,得到两相旋转坐标系下CSC侧的数学模型为

式中,ucd为公共耦合点处交流电压的d轴分量;ivd和ivq分别为公共耦合点处交流电流的dq轴分量;mad和maq分别为CSC换流器调制度的dq轴分量;uad和uaq分别为滤波电容的电压dq轴分量;Uadc和Iadc分别为直流电网侧的直流电压和直流电流;P为混合DC/DC换流器并网功率。
同理,得到两相旋转坐标系下VSC侧的数学模型为

式中,mvd和mvq分别为VSC侧换流器调制度的dq轴分量;Uvdc和Ivdc分别为直流负荷侧的直流电压和直流电流。
结合式(4)和(5),得到VSC调制度与公共耦合点处的电压以及传输功率的表达式为

结合式(1)、(3)和(4),得到CSC调制度与VSC调制度的关系表达式为

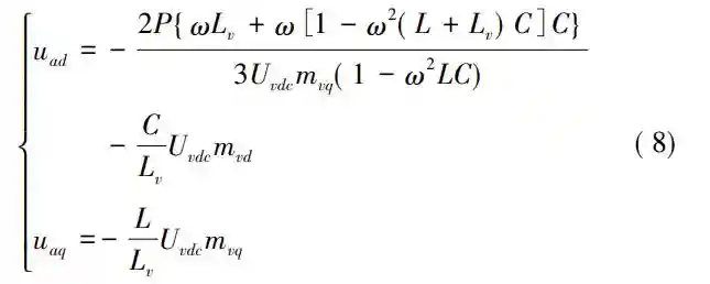
将式(7)代入式(2),得到CSC滤波电容电压的表达式为

从式(8)中可以看出,CSC滤波电容电压的大小与VSC调制度的大小和传输的有功功率有关。
2.2混合DC/DC换流器运行约束条件
从式(6)和(7)可以看出,VSC调制度的dq轴分量大小与耦合点电压幅值、VSC侧直流电压大小、有功功率和耦合点电流q轴分量大小有关;CSC调制度的dq轴分量大小与CSC侧直流电压大小、有功功率和耦合点电流q轴分量大小有关。
为了避免VSC和CSC的过调制,在VSC和CSC侧直流电压和传输功率一定的情况下,需要对耦合点电压幅值和耦合点电流q轴分量大小进行设计。
由式(7),当耦合点电压确定后,CSC调制度的d轴分量在额定值附近波动,额定值的表达式为

以本文算例,在耦合点电流为零且传输额定功率的情况下,VSC调制度的幅值随耦合点电压的变化曲线如图3所示。从图中可以看出,VSC调制度的幅值存在一个最小值点。

图3VSC调制度幅值
CSC调制度的dq轴分量以及幅值随耦合点电压的变化曲线如图4所示。从图4中可以看出,随着耦合点电压幅值的增大,CSC调制度的dq轴分量以及幅值均会减小。

图4CSC调制度的dq轴分量及幅值
此外,CSC正常工作时,桥臂功率半导体器件承受的电压即为滤波电容电压。根据式(8),电容电压的dq轴分量大小与VSC侧直流电压、传输功率和VSC调制度的dq轴分量大小有关。因此,为了实现CSC器件的安全稳定运行,需要考虑VSC调制度的大小对电容电压幅值的影响。CSC滤波电容电压的dq轴分量大小与幅值的变化曲线如图5所示。从图中可以看出,随着耦合点电压幅值的增大,CSC滤波电容电压的dq轴分量以及幅值均会减小。

图5CSC滤波电容电压的dq轴分量及幅值
通过上述分析,可以合理选择耦合点的电压幅值,使CSC与VSC不出现过调制且CSC桥臂功率半导体器件电压应力不超过最大设计电压值。
3混合DC/DC换流器控制策略通过前述分析,将公共耦合点的电压幅值控制在设计值即可实现混合DC/DC换流器的稳定运行。因此,本文提出一种VSC侧定电压幅值控制、CSC侧定功率控制的混合DC/DC换流器控制策略,控制框图如图6所示。

图6混合DC/DC换流器控制策略
通过采集混合DC/DC换流器公共耦合点的三相电压,并在给定初始相位角的情况下求取公共耦合点的电压幅值,与参考值比较经PI调节器输出得到三相调制电压,从而得到混合DC/DCVSC侧桥臂器件的开关信号。
通过采集混合DC/DC换流器CSC侧直流电压与电流得到换流器有功功率并与参考值比较后经PI调节器输出得到调制度的d轴分量。通过采集交流侧电压电流得到公共耦合点处的无功功率,与参考值比较后经PI调节器输出得到调制度的q轴分量。经过SPWM调制,得到混合DC/DCCSC侧桥臂器件的开关信号。
根据式(4)得到VSC交流侧电压幅值与调制度幅值的关系表示为

忽略VSC交流电感的影响,得到

式中,mv为VSC调制度的幅值。
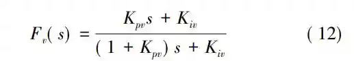
结合图6中VSC控制策略,得到VSC交流侧电流幅值的闭环传递函数为


式中,Kpv和Kiv分别为VSC控制器的比例系数和积分系数。
根据式(12)可以对控制参数进行设计。
根据式(7)得到CSC功率与调制度幅值的关系表示为

结合图6中CSC控制策略,得到CSC功率的闭环传递函数为

式中,Kpc和Kic分别为CSC控制器的比例系数和积分系数。
根据式(14)可以对控制系数进行设计。
4试验验证为了验证本文提出混合DC/DC换流器拓扑及控制策略的正确性和有效性,在RTDS半实物仿真平台上搭建了1MW/2000V/750V混合DC/DC换流器试验模型,分别对额定运行工况和直流短路工况进行了试验研究。RTDS半实物仿真平台如图7所示,其中RTDS用于搭建混合DC/DC换流器主电路,硬件板卡用于实现DC/DC换流器的控制算法,上位机用于电气量波形录制,RTDS上搭建的换流器主电路参数如表1所列。

图7RTDS半实物仿真平台

4.1案例一:额定运行工况
混合DC/DC换流器正常工作时,设定负荷侧分布式电源向直流电网传输1.0MW的额定有功功率,试验结果如图8所示。

图8混合DC/DC换流器额定运行工况试验波形
从图8(a)和图8(b)中可以看出,混合DC/DC换流器VSC侧直流电压为1960V,VSC侧直流电流为512A,换流器向分布式电源传输的功率为1.03MW。
从图8(c)和图8(d)中可以看出,混合DC/DC换流器CSC侧直流电压为752V,CSC侧直流电流为1328A,换流器从直流电网吸收的功率为0.99MW。
图8(e)为混合DC/DC换流器交流公共耦合点交流电压波形。从图中可以看出,电压波形含有大量的谐波分量,这是由于VSC侧滤波电感设计较小导致VSC输出斩波电压谐波分量没有被充分滤掉的原因。通过FFT谐波分析,交流公共耦合点处的电压基波幅值为额定设计值800V。交流公共耦合点交流电流波形如图8(f)所示。从图中可以看出,交流电流波形质量较好,谐波含量低。
混合DC/DC换流器CSC滤波电容电压波形如图8(g)所示。从图中可以看出,CSC滤波电容电压波形质量较好,幅值为2.97kV,与理论设计值3.0kV保持一致。
混合DC/DC换流器CSC和VSC侧调制度波形分别如图8(h)和图8(i)所示。从图中可以看出,CSC调制度幅值为0.5,VSC调制度幅值为0.90。由图3和图4可以得到CSC和VSC调制度的幅值分别是0.48和0.89,试验结果与理论设计相符。
试验结果验证了本文提出的控制策略可以实现混合DC/DC换流器的额定工况运行。
4.2案例二:功率变化工况
混合DC/DC换流器处于额定运行工况,试验中设置混合DC/DC换流器分布式电源向直流电网传输的功率线性减小,减小至零后,分布式电源向直流电网吸收功率线性增加至1.0MW。试验结果如图9所示。

图9混合DC/DC换流器功率变化工况试验波形
从图9(a)和图9(b)中可以看出,混合DC/DC换流器VSC侧直流电压在功率变化过程中由1960V增加至2016V。VSC侧直流电流由512A线性减小至-512A。分布式电源由向换流器传输1.03MW的有功功率转变为从换流器吸收1.03MW的有功功率。
从图9(c)和图9(d)中可以看出,混合DC/DC换流器CSC侧直流电压由752V线性减小至-784V,直流电流在功率变化过程中始终在1328A附近波动,换流器由向直流电网传输0.99MW的有功功率变为从直流电网吸收1.04MW的功率。
混合DC/DC换流器公共耦合点交流电压波形和交流电流波形分别如图9(e)和9(f)所示。功率变化前后,电压电流波形未见明显的冲击,电流波形质量较好。
混合DC/DC换流器CSC侧滤波电容电压波形如图9(g)所示。功率变化过程,电压幅值平滑切换。
试验结果表明了本文提出的混合DC/DC换流器拓扑及控制策略能够实现功率的平滑变换。
4.3案例三:短路故障工况
混合DC/DC换流器处于额定运行工况时,试验中设置直流电网侧(混合DC/DC换流器CSC侧)发生暂时性直流短路故障,故障持续时间0.5s。试验结果如图10所示。

图10混合DC/DC换流器直流电网短路工况试验波形
图10(a)和图10(b)分别为混合DC/DC换流器VSC侧直流电压和直流电流波形图。从图中可以看出,故障发生后VSC侧直流电压存在震荡,但很快升至2000V,故障消失后VSC侧直流电压同样存在震荡,但很快恢复至故障前状态。故障发生后电流经震荡后快速降低至零,故障消失后电流经震荡后快速恢复至额定值。
图10(c)和图10(d)分别为混合DC/DC换流器CSC侧直流电压和直流电流波形图。从图中可以看出,故障发生后CSC侧直流电压迅速降低至零,故障消失后直流电压很快恢复至故障前状态。由于CSC直流电抗的续流,故障发生后电流缓慢降低。故障消失后,直流电流没有超调,快速恢复至额定值。
图10(e)为混合DC/DC换流器交流公共耦合点交流A相电压波形。从图中可以看出,故障发生和消失前后,电压基本没有冲击,故障期间电压幅值控制在额定值内。交流公共耦合点交流电流波形如图10(f)所示。从图中可以看出,故障发生后,电流迅速减小,故障消失后,电流存在1.0kA的冲击电流,但很快恢复至故障前的状态。
混合DC/DC换流器CSC侧滤波电容电压波形如图10(g)所示。从图中可以看出,故障发生后,电容电压幅值最大冲击电压为5.4kV,故障消失后,电容电压幅值最大冲击电压为6.3kV,电容电压经震荡恢复至故障前状态。
试验结果表明,本文提出的混合DC/DC换流器拓扑及控制策略能够实现直流短路故障穿越。
5换流器性能对比以1MW/2000V/750V额定参数为例,DAB-DC/DC、MMC-DC/DC与本文提出DC/DC换流器具体指标对比如表2所列。

从表2中可以看出:本文提出的DC/DC换流器拓扑在换流器效率、控制复杂度、造价等方面具有明显的优势。结合试验结果,本文提出的DC/DC换流器拓扑在直流短路故障前后存在震荡,故其动态性能较MMC-DC/DC差,但并不影响换流器的安全运行。因此,本文提出的换流器拓扑在直流分布式负荷并网领域具有广阔的应用前景。
6结论(1)提出了一种基于VSC和CSC混合的DC/DC换流器拓扑。
(2)分析了换流器的运行约束条件,换流器VSC调制度随着耦合点电压幅值的变化存在一个最小值,CSC调制度以及CSC滤波电容电压的幅值随着耦合点电压幅值的增大而减小。结合换流器电路参数,设计耦合点电压幅值为800V,VSC调制度幅值为0.9,CSC调制度幅值为0.5,CSC滤波电容电压幅值为3.0kV。
(3)给出了一种CSC侧功率单闭环控制、VSC侧耦合点电压幅值闭环控制的换流器控制策略,给出了控制器参数设计的方法。
(4)在RTDS半实物仿真平台上搭建了1MW/2000V/750V混合DC/DC换流器试验模型。额定运行工况下的试验结果表明VSC调制度、CSC调制度以及CSC滤波电容电压试验结果与理论分析结果一致,换流器可以实现1MW额定功率的传输。功率变化下的试验结果表明换流器可以平滑的实现功率由1MW转变至-1MW,换流器具备功率双向传输的能力。短路故障工况下的试验结果表明故障发生前后电容电压幅值最大冲击电压为6.3kV,故障消失后换流器恢复至故障前状态,换流器具备直流短路故障穿越能力。
(5)本文提出的混合DC/DC换流器在未来能源互联网框架下的城市直流配电网中具有广阔的应用前景。
水利水电技术(中英文)
水利部《水利水电技术(中英文)》杂志是中国水利水电行业的综合性技术期刊(月刊),为全国中文核心期刊,面向国内外公开发行。本刊以介绍我国水资源的开发、利用、治理、配置、节约和保护,以及水利水电工程的勘测、设计、施工、运行管理和科学研究等方面的技术经验为主,同时也报道国外的先进技术。期刊主要栏目有:水文水资源、水工建筑、工程施工、工程基础、水力学、机电技术、泥沙研究、水环境与水生态、运行管理、试验研究、工程地质、金属结构、水利经济、水利规划、防汛抗旱、建设管理、新能源、城市水利、农村水利、水土保持、水库移民、水利现代化、国际水利等。
